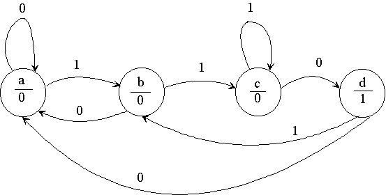
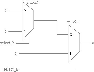
Index of /info/vhdl/Unit3_Part7

      Name                   Last modified     Size  Description

[DIR] Parent Directory 04-Sep-98 18:19 - [TXT] Unit3_Part7.html 13-Aug-96 18:15 16k [IMG] part7002.gif 13-Aug-96 18:15 7k [IMG] part7010.gif 13-Aug-96 18:15 4k [IMG] part7012.gif 13-Aug-96 18:15 3k [IMG] part7015.gif 13-Aug-96 18:15 5k [IMG] part7018.gif 13-Aug-96 18:15 5k [IMG] part7021.gif 13-Aug-96 18:15 6k [IMG] part7023.gif 13-Aug-96 18:15 4k [IMG] part7024.gif 13-Aug-96 18:15 5k